hier nachzulesen oder im Downloadbereich (Dokumente) als PDF Datei zum Download und Drucken
KGV am Tossehof Hüller Straße 119 45888 Gelsenkirchen
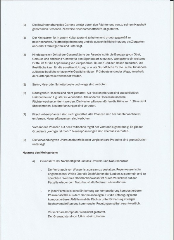
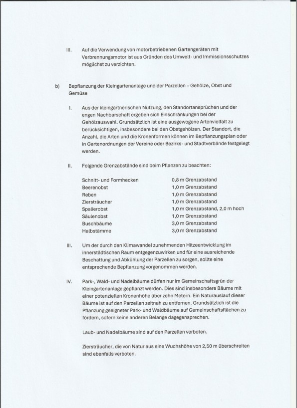
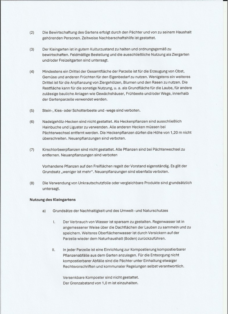
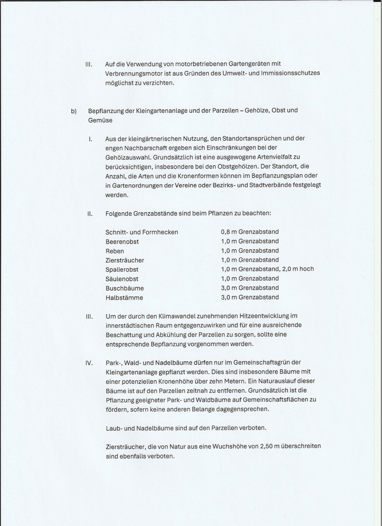
Neue Seite
"Die Gartenordnung" zum nachlesen und im Bereich "Download-Dokumente" als PDF Datei zum Download und Drucken
Aufwertung eines Gartens
Zurzeit steht kein Garten zum Verkauf
Die Seite "Internes" ist mit einem Passwort geschützt. Das Passwort kann im Garten 19 von Vereinsmitgliedern erfragt werden.
Besucher der Homepage
Letzte Aktualisierung:
Website 02.04.2026
Internes 17.03.2026